FPGA based Digital World

Welcome to FPGA based Digital World.
Analog circuit is the basis of electronics, and covers lots of area. |
Non-Sinusiod Periodic AC Analysis
In a linear, time invariant(LTI)circuit, if the source is a non-sinusoid but periodic(steady-state), then phasor analysis can be combined with Fourier series and superposition principle to solve it.
Analysis with Fourier Series
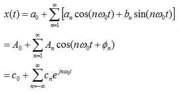
A non-sinusoid periodic source can be expressed as Fourier series, as below.
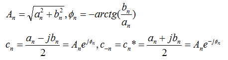
while
Usually, the higher order parameters are small enough that with n<5, the Fourier series is already close to the original signal.
The non-sinusoid periodic source is first expressed as Fourier series, then phasor analysis is used to calculate the response of each freqency, and sum the response to obtain the final output, as shown below.
Analysis with Fourier Transform
The LTI circuit with non-sinusoid periodic source can also be anayzed with Fourier transform and Inverse transform, as shown.
| Altera/Intel | Xilinx | Lattice | Learn About Electronics |
| MircoSemi | Terasic | Electric Fans |
| All rights reserved by fpgadig.org |
| Electric Device |
| Diode |
| Bipolar Junction Transistor |
| Field Effect Transistor |
| Operational Amplifier |
| FPAA |
| Circuit Analysis |
| DC Circuit |
| Basic Laws |
| Basic Analysis Techniques |
| Linear Circuit |
| Analysis Theorem in Linear Circuit |
| AC Circuit |
| Sinusoidal Steady-State Analysis |
| Sinusoid and Phasor |
| Basic Laws |
| Analysis Techniques |
| Frequency Response |
| Non-Sinusoid Steady-State Analysis |
| Transient Analysis |
| First Order Circuits |
| Second Order Circuits |
| Two-port Networks |
| Related Knowledge |
| Waveforms in Electric Circuit |
| Power Supply |
| Linear Regulator |
| SMPS Basic Topology |
| SMPS with Transformer |
| SMPS without Transformer |
| Clock Generation |
| EDA Tools |
| Technical Notes |
| DC-DC Test |