FPGA based Digital World

Welcome to FPGA based Digital World.
Analog circuit is the basis of electronics, and covers lots of area. |
Two-Port Circuit Network
A port is a pair of terminals through which current may enter or leave a circuit network.
A port acts as access point to the network. In a port, the current entering one terminal leaves through the other terminal, so the net current entering the port equals to zero.
A network may have several ports.
- One-port network:resitor, capcitor or inductor, etc.
- Two-port network:transformer, BJT, or op amp, etc.
A two-port network has two port or two pairs of terminals.
Several sets of parameters are used to relate the voltages and currents in a network:
- Immitance parameters: impedance(z) parameters and admittance(y) parameters;
- Hybrid(h) parameters and inverse hybrid(g) parameters;
- Transmission parameters and inverse transmission(t) parameters;
- Scattering(s) parameters.
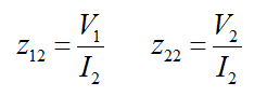
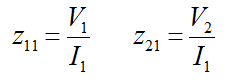
Impedance Parameters
When taking V1 and V2 as dependent parameters,we get
where the z terms are called impedance(z) parameters, or open-circuit impedance parameters.
Driving-point impedance: z11 and z22;
Transfer impedance: z12 and z21.
Reciprocal two-port network: when the points of excitation and response are exchanged, the transfer impedances remain the same(z12=z21).
- if a network is linear and has no dependant sources(e.g.,only with resistors, capacitors and inductors), it's linear.
The impedance parameters can be acquired by opening-circuting the input or output port.
When the output port is open-circuited(I2=0), we get
When the input port is open-circuited(I1=0), we get
Admittance Parameters
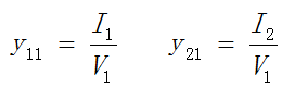
When taking I1 and I2 as dependent parameters,we get
where the y terms are called admittance(y) parameters, or short-circuit admittance parameters.
When the output port is short-circuited, we get
When the input port is short-circuited, we get
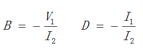
Transmission Parameters
When taking V1 and I1 as dependent parameters,we get
where ABCD are called transmission parameters.
When the output port is open-circuited, we get
When the output port is short-circuited, we get
Inverse Transmission Parameters(t Parameters)
When taking V2 and I2 as dependent parameters,we get
where abcd are called inverse transmission parameters.
When the input port is open-circuited, we get
When the input port is short-circuited, we get
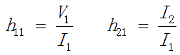
Hybrid Parameters(h Parameters)
When taking V1 and I2 as dependent parameters,we get
where the h terms are called hybird(h) parameters.
When the output port is short-circuited, we get
When the input port is open-circuited, we get
Inverse Hybrid Parameters(g Parameters)
When taking I1 and V2 as dependent parameters,we get
where the h terms are called inverse hybird(g) parameters.
When the output port is open-circuited, we get
When the input port is short-circuited, we get
| Altera/Intel | Xilinx | Lattice | Learn About Electronics |
| MircoSemi | Terasic | Electric Fans |
| All rights reserved by fpgadig.org |
| Electric Device |
| Diode |
| Bipolar Junction Transistor |
| Field Effect Transistor |
| Operational Amplifier |
| FPAA |
| Circuit Analysis |
| DC Circuit |
| Basic Laws |
| Basic Analysis Techniques |
| Linear Circuit |
| Analysis Theorem in Linear Circuit |
| AC Circuit |
| Sinusoidal Steady-State Analysis |
| Sinusoid and Phasor |
| Basic Laws |
| Analysis Techniques |
| Frequency Response |
| Non-Sinusoid Steady-State Analysis |
| Transient Analysis |
| First Order Circuits |
| Second Order Circuits |
| Two-port Networks |
| Related Knowledge |
| Waveforms in Electric Circuit |
| Power Supply |
| Linear Regulator |
| SMPS Basic Topology |
| SMPS with Transformer |
| SMPS without Transformer |
| Clock Generation |
| EDA Tools |
| Technical Notes |
| DC-DC Test |