FPGA based Digital World

Welcome to FPGA based Digital World.
Analog circuit is the basis of electronics, and covers lots of area. |
First Order Circuits
A first order circuit is a circuit with first-order differential equation.An example first order RC circuit is shown below.
Fig.1 Example of RC Circuit
When K1 is switched to position 1, the circuit is excited by the energy(voltage or current) stored in the capacitor, and the response is called natural response;
When K1 is switched to position 2, the circuit is excited by the DC voltage source V1(or current source I1), and the response is called forced response.
Natural Response of Source-Free RC Circuit
Suppose the iniatial voltage of C1 is V0, and apply KCL in the top node, we get
Solve the above solution as below
The final result is:
The corresponding curve is
where
is the time constant where the response decays to 1/e (or 0.368) of its initial value.
Natural Response of Source-Free RL Circuit
For below RL circuit,
The response is
Step Response of RC Circuit
The step response is the circuit behavior when excited by a step voltage or current source.
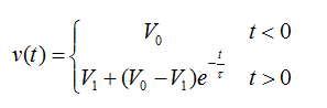
In Fig.1, when K1 is switched to position 2, it's similiar to being excited by a step voltage source, as shown below.
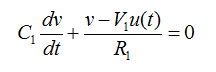
Applying KCL, we get
Solving the above equation by below steps for t>0,
we get
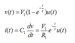
The response can also be divided into natural response and forced response, as below.
When the inital voltage of the capacitor at t=0 is 0, the voltage and current become
Step Response of RL Circuit
For below RL circuit,
The response is
| Altera/Intel | Xilinx | Lattice | Learn About Electronics |
| MircoSemi | Terasic | Electric Fans |
| All rights reserved by fpgadig.org |
| Electric Device |
| Diode |
| Bipolar Junction Transistor |
| Field Effect Transistor |
| Operational Amplifier |
| FPAA |
| Circuit Analysis |
| DC Circuit |
| Basic Laws |
| Basic Analysis Techniques |
| Linear Circuit |
| Analysis Theorem in Linear Circuit |
| AC Circuit |
| Sinusoidal Steady-State Analysis |
| Sinusoid and Phasor |
| Basic Laws |
| Analysis Techniques |
| Frequency Response |
| Non-Sinusoid Steady-State Analysis |
| Transient Analysis |
| First Order Circuits |
| Second Order Circuits |
| Two-port Networks |
| Related Knowledge |
| Waveforms in Electric Circuit |
| Power Supply |
| Linear Regulator |
| SMPS Basic Topology |
| SMPS with Transformer |
| SMPS without Transformer |
| Clock Generation |
| EDA Tools |
| Technical Notes |
| DC-DC Test |