FPGA based Digital World

Welcome to FPGA based Digital World.
Signal processing is much important. |
Complex Number
Complex number was inveneted to solve the problem of x*x = q, where q is a negative real number.
Representations
A complex numbercan be represented in different forms.
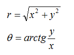
Rectangular form
where
x is the real part(Re) and y is the imaginary part(Im).
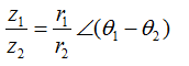
Polar form
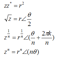
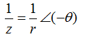
where, r is called the modulus (or absolute value or norm) of z.
¦Èis determined up to an integer multiple of 2¦Ð, and the value of any of these angles is called an argument of z, denoted Arg z. While the argument that lies in (-¦Ð,¦Ð) is known as the principle value of the argument, denoted as arg z.
Exponential Form
or
Graphical Representation
A complex number can be expressed graphically.
1) A point with coordinates of (x,y) in the complex plane(or z plane)
2) A vector pointing to (x,y) point
Properties
Euler's Formula
so,
Other properties
Mathematical Operations
Addition and Subtraction
Multiplication
Division
Recipical
Complete Conjugate
Function of a Complex Variable
Complex functions w (z) are constructed from complex variable z(=x+jy), as below.
w(z) = u(x,y) + jv(x,y)
The relationship between the independent variable z and the dependent variable w can be pictured as a mapping operation, as shown below.
Complex Number in Matlab
1) Generate a complex number
a = 2.5 + 5.9i
a = complex(2.5,5.9)
2) Get the real part, imaginary part,magnitude
real(a), imag(a), abs(a)
3) Get the angle
angle(a) - in rad
angle(a)*180/pi-- in degree
4) Get the conjugate
conj(a)
5) Draw complex function
The complex function z = f(x,y), can be graphed, over some finite domain, as the height of a 3D surface, a density plot, or a set of contour lines.
In matlab, it can be graphed with the height of the 3D surface as well as the surface color.
[example]plot the curve of Z^2.
z=cplxgrid(30);
w=z.^2;
cplxmap(z,w);
[Note]cplxmap(z,w) has the similar result to the one of below command.
surf(real(z),imag(z),real(w),imag(w))
where x and y axes represent the real and imaginary parts of the input, while z axis represents the real part of the output and the color represents the imaginary part of the output.
The result is shown below.
| Altera/Intel | Xilinx | Lattice | Learn About Electronics |
| MircoSemi | Terasic | Electric Fans |
| All rights reserved by fpgadig.org |