FPGA based Digital World

Welcome to FPGA based Digital World.
Signal processing is much important. |
Even and Odd Function
Even Function
A function f(t) is even if it's symmetrical about the vertical axis (like a reflection), i.e.,
f(-t) = f(t)
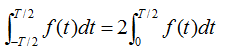
For an even periodic function with period of T,
Odd Function
A function f(t) is odd if it's symmetrical about the orign, i.e.,
f(-t) = -f(t)
For an odd periodic function with period of T,
| Altera/Intel | Xilinx | Lattice | Learn About Electronics |
| MircoSemi | Terasic | Electric Fans |
| All rights reserved by fpgadig.org |