FPGA based Digital World

Welcome to FPGA based Digital World.
Signal processing is much important. |
Laplace Transform (LS)
Lapace transform is an integral transformation of a function from the time domain to the complex frequency (s=¦Ä+j¦Ø) domain.
Given f(t), its Laplace transform is defined by
- one-sided(or unilateral) Laplace transform, discussed here
-two-sided(or bilateral) Laplace transform,not discussed here
where s=¦Ä+j¦Ø has the dimensions of frequency, whose unit is 1/sec. or Hz.
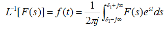
And its inverse Laplace transform is given by
where the intergraion is performed along a line ¦Ä1+j¦Ø(-¡Þ<¦Ø<¡Þ).
The condition for f(t) to have a Laplace transform is
, for ¦Ä>¦Äc.
Properties of Laplace Transform
Linearity
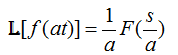
Scaling
Time Shift(Time Delay)
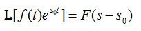
Frequency Shift(Frequency Translation)
Time Differentiation
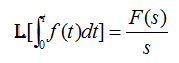
Time Integration
Frequency Differentiation
Time Periodicity
where F1(s) is the Laplace transform of f(t) over the 1st period.
Initial and Final Values
Convolution
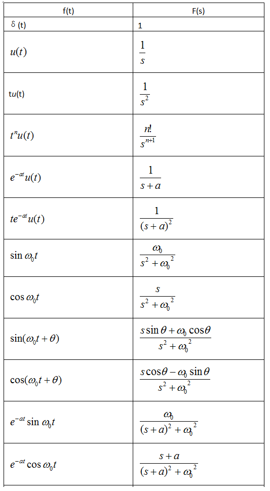
Laplace Transform Pairs
Inverse Laplace Transform
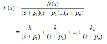
F(s) can be written in general form as
and the roots of N(s) are called zeros of F(s) , while the roots of D(s) are called poles of F(s).
The above F(s) can be broken down to simple terms by partial fraction expansion,and obtain the inverse tranform of each them,then combine them together to obtain the final result.
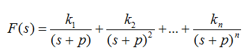
Simple Poles
For below simple poles,
The parameters of k1,k2,...,kn can be calculated by residue method.
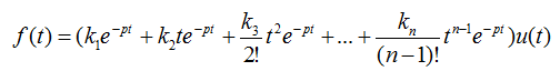
The inverse Laplace transform is
Repeated Poles
For below repeated poles
The inverse Laplace transform is
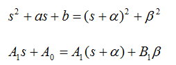
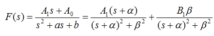
Complex Poles
Complex poles pair is processed by the method of 'completing the square'to simplify the analysis.
For below complex poles
where,
The inverse Laplace transform is
| Altera/Intel | Xilinx | Lattice | Learn About Electronics |
| MircoSemi | Terasic | Electric Fans |
| All rights reserved by fpgadig.org |